-
8.6 1.0.12025-11-07 Neueste Version
Wichtige Sammlung von Calculus Formulas
Calculus Formulas ist die Sammlung wichtiger Calculus Formulas . Es ist sehr nützlich für Schüler und Lehrer. Wir hoffen, dass es Ihre wertvolle Zeit sparen wird.
Diese App enthält folgende Formeln:
- Integrationsformeln: Bestimmte integrale, trigonometrische, exponentielle, hyperbolische usw. Formeln
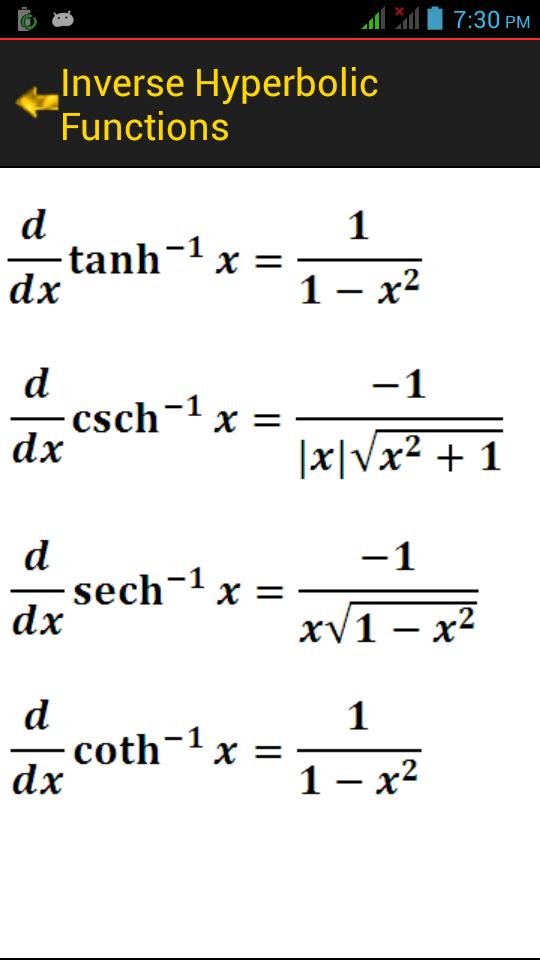
- Ableitungsformeln: trigonometrische, exponentielle usw. Formeln
Die meisten willkommen für Vorschläge. Sie können sich unter [email protected] kontaktieren
Bitte bewerten Sie uns, wenn Sie möchten. Diese App.
Erweitern
Calculus Formulas Screenshots
Softwareempfehlung
